2025-09-10 16:46:12 来源:勒克斯教育网
2025年高职单招《电工技术基础与技能》每日一练试题09月10日,可以帮助我们积累知识点和做题经验,进而提升做题速度。通过高职单招每日一练的积累,助力我们更容易取得最后的成功。
判断题
1、电源提供的总功率越大,则表示负载消耗的有功功率越大。
答 案:错
解 析:负载消耗的有功功率的大小由电源的功率和功率因数共同决定。故错误。
2、电路中电源的端电压要比电源电动势小一些,原因是电源存在内阻。()
答 案:对
解 析:根据闭合电路欧姆定律有U=E-Ir,可知由于电源存在内阻,电路中电源的端电压要比电源电动势小一些。故正确
单选题
1、直流电磁铁励磁电流不变,衔铁刚被吸引时,由于空气隙最大,所以()
答 案:B
解 析:由于空气隙最大,所以磁路的磁阻最大,由直流电磁铁励磁电流不变,可知磁动势Fm不变,由磁路欧姆定律可 知,磁通最小。故B正确。
2、如图所示,由于条形磁铁的运动,金属环中产生了图示方向的感应电流,则下列说法正确的是()
答 案:B
解 析:根据右手螺旋定则可知,金属环中间位置感应电流产生的磁场方向向右。磁铁靠近金属环时,由楞次定律可知,磁铁的右端是S极,左端是N极。故B正确,A错误。磁铁远离金属环时,由楞次定律可知,磁铁的左端是S极,右端是N极。故C、D错误。
主观题
1、如图所示电路为某电路的一部分,已知I=100mA,I1=20mA,R1=1kΩ,R2=2kΩ,R3=10kΩ,求电流表A1和A2的读数。
答 案:对左侧节点,由KCL有I=I1+I2解得I2=80mA, 对左侧网孔,由KVL有I1R1+I3R3-I2R2=0,解得I3=14mA,对右侧两节点,由KCL有I1=I2+IA1,I2+I3=IA2,解得IA1=6mA,IA2=94mA。
2、在如图所示电路中,电流表和电压表均为理想电表,电容器的电容C=6μF,定值电阻R1=3Ω,R2未知,
开关S闭合一段时间后,电流表的读数为0.6A,电压表的读数为4.8V。
(1)求此时电容器所带电荷量。
(2)将开关S断开后至电路再次稳定的过程中,通过R2的电荷量。
答 案:(1)开关闭合一段时间后,电容器相当于断路,电阻R1、R2串联,则电阻R2的阻值
电容器与电阻R2并联,则此时电容器两端的电压U2=IR2=0.6×5V=3V,根据
可得,电容器所带电荷量Q1=CU2=6×10-6×3C=1.8×10-5C。
(2)开关S断开后至电路再次稳定的过程中,电荷量Q1全部经电阻R2释放,所以通过R2的电荷量Q2=Q1=1.8×10-5C。
填空题
1、一个标有“220V,400W”的电烤箱,正常工作时的电流为()A,其电热丝阻值为()Ω,若连续使用8h,它所消耗的电能是()kW·h,所产生的热量是()J。
答 案:1 .82 121 3.2 1. 152×107
解 析:电烤箱正常工作时,实际功率等于额定功率;由P=UI可得,该电烤箱正常工作时的电流由可得
该电烤箱的电阻
若连续使用8h,所消耗的电能是W=P额t=0.4×8kW·h=3.2kW·h=1.152×107J,电热丝所产生的热量等于所消耗的电能,故它所产生的热量是1.152×107J。
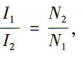
2、普通的交流电流表不能直接接在高压输电线路上测量电流,通常要通过电流互感器来测量,图中电流互感器ab一侧线圈的匝数较少,工作时电流为Iab,cd一侧线圈的匝数较多,工作时电流为Icd,为了使电流表能正常工作,则ab接()(选填“MN”或“PQ”),Iab()Icd(选填“="“>”或“<”)。
答 案:MN >
解 析:电流互感器的作用是使大电流变成小电流,故电流互感器的输入端接的是高压输电线路,电流较大,根据
所以输入端应接电流互感器匝数少的一端,即ab接MN,cd接PQ。所以Iab>Icd。
简答题
1、有一铁心线圈,工作点在磁化曲线的直线段,铁心闭合,截面均匀。试分析铁心的磁感应强度B和线圈中的电流I在下列两种情况下将如何变化: (1)磁路平均长度加倍,铁心的截面积、线圈的电阻和匝数及电源电压不变。 (2)线圈的电阻加倍,磁路平均长度、铁心的截面积、线圈匝数和电源电压不变。
答 案:(1)线圈的电阻及电源电压不变,则线圈中的电流I不变;磁路平均长度加倍,则由
可知,磁阻增大;线圈的匝数不变,由Fm=NI可知,磁动势不变;由磁路欧姆定
可知,磁通减小,铁心的截面积不变,则磁感应强度B减小。
(2)线圈的电阻加倍,电源电压不变,则线圈中的电流I减小;线圈的匝数不变,由Fm=NI可知,磁动势减小;线圈的磁阻不变,则由磁路欧姆定律
可知,磁通减小,铁心的截面积不变,磁感应强度B减小。
2、如图所示,指出各通电导体所受安培力的方向。
答 案:题图甲中,电流方向垂直纸面向里,磁场方向竖直向上,由左手定则可知,安培力的方向水平向右。题图乙中,电流方向垂直纸面向外,磁场方向竖直向上,由左手定则可知,安培力的方向水平向左。 题图丙中,磁体在两导体处产生的磁场方向竖直向上,根据右手螺旋定则,下方导体在上方导体处产生的磁场方向水平向左,上方导体在下方导体处产生的磁场方向水平向左,则上方导和下方导体处的磁场方向均斜向左上方。根据左手定则,上方导体受到斜向右上方的安培力,下方导体受到斜向左下方的安培力。
2025年高职单招《电工技术基础与技能》每日一练试题10月09日 10-09 2025年高职单招《电工技术基础与技能》每日一练试题09月09日 09-09 2025年高职单招《电工技术基础与技能》每日一练试题10月10日 10-10 2025年高职单招《电工技术基础与技能》每日一练试题09月28日 09-28 2025年高职单招《电工技术基础与技能》每日一练试题09月29日 09-29 2025年高职单招《电工技术基础与技能》每日一练试题09月12日 09-12 2025年高职单招《电工技术基础与技能》每日一练试题09月13日 09-13 2025年高职单招《电工技术基础与技能》每日一练试题09月06日 09-06