2025-09-07 16:28:50 来源:勒克斯教育网
2025年高职单招《电工技术基础与技能》每日一练试题09月07日,可以帮助我们积累知识点和做题经验,进而提升做题速度。通过高职单招每日一练的积累,助力我们更容易取得最后的成功。
判断题
1、变压器原绕组接上直流电压后,能在副绕组中产生感应电动势。()
答 案:错
解 析:变压器是利用互感原理工作的电磁装置,原绕组接上直流电压后,不能在副绕组中产生感应电动势。故错误。
2、变压器的铁心是电路部分,分为心式和壳式两种。()
答 案:错
解 析:铁心是变压器的磁路通道,变压器的铁心分为心式和壳式两种。故错误。
单选题
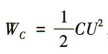
1、三个电容器的电容之比为C1:C2:C3=1:2:3,则它们串联后接入电路中,稳定时储存的能量之比为()
答 案:C
解 析:三个电容器串联接入电路,由电容器串联分压规律和它们的电容之比可知,它们两极板间的电压之比为U1:U2:U3=6:3:2,由电容器储存的能量
可知稳定时它们储存的能量之比为W1:W2:W3=6:3:2。故C正确。
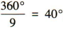
2、示波器上显示的两个正弦信号的波形如图所示,已知时间因数“t/div”开关置于10ms/div挡,水平扩展倍率k=10,Y轴偏转因数“V/div”开关置于10mV/div挡,则信号周期及两者的相位差分别是()
答 案:B
解 析:由波形图可以看出两个正弦信号周期相同,均为9格,相位上相差1格,水平扩展倍率k=10,则周期
相位差为
故B正确。
主观题
1、在如图所示的电路中,已知R1=R2=5Ω,iS=2A,开关S动作前电路已处于稳态。在t=0时刻开关S动作,试求换路后的初始值iL(0+)、uR2(0+)和uL(0+)。
答 案:因开关S动作前电路已处于稳态,电感L相当于短路,则有
t=0时开关S动作,由换路定律可得iL(0+)=iL(0-)=1A,
开关S动作的瞬间,电感L以恒流源代替,作出t=0+时刻的等效电路如图所示。则
uR2(0+)=iL(0+)×R2=1×5V=5V,
uL(0+)=-uR2(0+)=-5V。
2、两个蓄电池的电源电动势E1=E2=12V,内阻分别为r1=0.5Ω、r2=0.1Ω。试计算当负载电流同为10A时两蓄电池的输出电压。
答 案:根据闭合电路欧姆定律有U1=E1-Ir1=12V-10×0.5V=7V, U2=E2-Ir2=12V-10×0.1V=11V。
填空题
1、电流能产生磁场,电流产生的磁场分布情况用()判定;磁场对电流有作用力,其方向用()判定;通过磁场也能获得电流,其电流方向用()和()判定。
答 案:右手螺旋定则 左手定则 楞次定律 右手定则
解 析:电流产生的磁场分布情况用右手螺旋判定;磁场对电流有作用力,其方向用左手定则判定;通过磁场也能获得电流, 其电流方向用楞次定律和右手定则判定。
2、正弦交流电的角频率是指正弦交流电在()时间内变化的电角度。
答 案:1s
解 析:正弦交流电的角频率是指正弦交流电在1s 时间内变化的电角度。
简答题
1、如图所示电路,当滑动变阻器的滑片P向下滑动时,试分析各电表读数的变化情况。
答 案:由题图可知,电流表A测电路的总电流I,电压表V测电路的端电压U,电流表A1测通过电阻R1的电流I1,电流表A2测通过电阻R3的电流I3,电压表V1测电阻R2两端的电压U2。当滑动变阻器的滑片P向下滑动时,外电路的总电阻变小,根据闭合电路欧姆定律可得
则I变大,电流表A的读数变大;由U=E-Ir可知,U变小,即电压表V的读数变小;由
可知I1变小,即电流表A1的读数变小;由I=I1+I1,可知通过R2的电流I2变大,根据U2=I2R2,可知R2两端的电压U2变大,即电压表V1的读数变大;由U2=U-U2,可知R2、Rp两端电压U3变小,根据
可知I3变小,即电流表A2的读数变小。综上所述,A、V1的读数变大,V、A1、A2的读数变小。
2、有人说:“在公式P=I²R中,功率和电阻成正比;在公式
,功率和电阻成反比。”这种说法正确吗?为什么?
答 案:这种说法是错误的。对同一个电阻而言,
三个公式计算出来的结果一定是相同的。这只能说明公式P=P²R的物理意义是在I相同的前提下,P与R成正比;公式
的物理意义是在U相同的前提下,P与R成反比。
2025年高职单招《电工技术基础与技能》每日一练试题07月09日 07-09 2025年高职单招《电工技术基础与技能》每日一练试题07月07日 07-07 2025年高职单招《电工技术基础与技能》每日一练试题09月09日 09-09 2025年高职单招《电工技术基础与技能》每日一练试题03月07日 03-07 2025年高职单招《电工技术基础与技能》每日一练试题05月07日 05-07 2025年高职单招《电工技术基础与技能》每日一练试题06月07日 06-07 2025年高职单招《电工技术基础与技能》每日一练试题04月07日 04-07 2025年高职单招《电工技术基础与技能》每日一练试题07月04日 07-04