2025年高职单招《机械专业》每日一练试题09月02日

2025-09-02 18:07:43 来源:勒克斯教育网

课程 题库
分享到空间 分享到新浪微博 分享到QQ 分享到微信

2025年高职单招《机械专业》每日一练试题09月02日,可以帮助我们积累知识点和做题经验,进而提升做题速度。通过高职单招每日一练的积累,助力我们更容易取得最后的成功。

判断题

1、日常用的220V和380V交流电压是指最大值。()

答 案:错

2、磁场力方向、磁场方向及电流方向三者之间一定是两两垂直。()

答 案:错

3、闭合电路欧姆定律实际上就是KVL的一种体现。()

答 案:对

单选题

1、当视图中轮廓线与重合断面图的图形重叠时,视图中轮廓线的画法是()  

  • A:应连续画出,不可间断
  • B:一般应连续画出,有时可间断
  • C:应断开,不连续画出
  • D:应断开,按重合断面的轮廓线画出

答 案:A

2、做等加速等减速运动的从动件,其速度曲线是()  

  • A:抛物线
  • B:斜直线
  • C:横直线
  • D:曲线

答 案:B

3、共析钢淬火+中温回火后的组织是()  

  • A:马氏体
  • B:珠光体
  • C:回火托氏体
  • D:回火索氏体

答 案:C

填空题

1、当链节数为偶数时,节距较大时常使用的接头形式是(),节距较小时常使用的接头形式是()。

答 案:开口销,弹簧夹(弹性锁片)

2、在模数、齿数相同的条件下,斜齿圆柱齿轮传动可以比直齿圆柱齿轮传动获得较()的中心距。

答 案:大

3、轮齿折断一般发生在()部位,通过选择适当的()和()、采用合适的材料和热处理方法等可以提高其抗折断的能力。

答 案:齿根,模数,齿宽

简答题

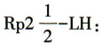
1、  

答 案:表示尺寸代号为,左旋的圆柱内螺纹。

温馨提示:因考试政策、内容不断变化与调整,本站提供的以上信息仅供参考,如有异议,请考生以权威部门公布的内容为准!
备考交流
单招真题交流3群
扫一扫或点击二维码入群
猜你喜欢
换一换
阅读更多内容,狠戳这里