2025-08-26 16:31:11 来源:勒克斯教育网
2025年高职单招《电工技术基础与技能》每日一练试题08月26日,可以帮助我们积累知识点和做题经验,进而提升做题速度。通过高职单招每日一练的积累,助力我们更容易取得最后的成功。
判断题
1、变压器的效率η为输出的有功功率与输入的有功功率之比的百分数。()
答 案:对
解 析:变压器的效率为输出的有功功率与输入的有功功率之比的百分数。故正确。
2、对于一阶动态电路,只要知道了三要素,就可以直接写出一阶电路瞬态过程的解。()
答 案:对
解 析:对于一阶动态电路,只要知道换路后的初始值、时间常数和新的稳态值这三个要素,就能写出一阶电路瞬态过 程方程,这就是一阶电路的三要素法。故正确
单选题
1、如图所示,在开关S断开的瞬间,a、b两点的电位关系是()


答 案:B
解 析:开关S闭合时左侧线圈的左端为N极,右侧线圈中有从右向左的磁感线穿过,断开开关S的瞬间,右侧线圈中的磁通减少,根据楞次定律可知,右侧线圈中产生感应电流,左端为N极,则b端为感应电动势的正极,即
。故B正确。
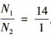
2、有一理想变压器输入的正弦交流电压的最大值是196V,一负载接在直流20V的电压上时消耗的功率为P。现将该负载接在此变压器次级绕组上,消耗的功率为
则此变压器初、次级线圈的匝数比为()
答 案:B
解 析:由题意可知,一次绕组两端电压的有效值
可得U2=10V,根据
解得此变压器的变压比
故B正确。
主观题
1、写出下列各组正弦量的相位差和相位关系。
答 案:




2、一通有2A电流的螺线管长20cm,共5000匝,求以空气为介质时螺线管内部的磁场强度和磁感应强度。
答 案:介质为空气时的磁场强度
磁感应强度为
填空题
1、已知电阻R1=6Ω,R2=9Ω,将它们串联接到电压恒定的电源上,R1、R2消耗的功率之比是();若将它们并联后接到同样的电源上,通过R1、R2的电流之比是()
答 案:2:3 3:2
解 析:根据电阻串联电路的特点可知,串联电阻消耗的功率之比等于串联电阻之比,即P1:P2=R1:R2=2:3;根据电阻并联电路的特点可知,通过并联电阻的电流与并联电阻成反比,即I1:I2=R2:R1=3:2。
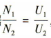
2、如图所示电路,A点的电位VA=()V,电阻R1=()Ω。
答 案:40 4
解 析:设通过R1的电流为I1、方向向下,通过15Ω电阻的电流为I2、方向向左,由题图可知,通过10Ω电阻的电流为I3=
方向向上。对电压源上方节点,由KCL有I2=I3+1A,解得I2=2A;对节点A,由KCL有3A+5A+I2=I1,解得I1=10A;对左侧网孔,由KVL,沿逆时针方向有100V=I2×15Ω+I1R1+30V,解得R1=4Ω,则VA=I1R1=10×4V=40V。
简答题
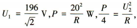
1、如图所示,根据通电螺线管的N极和S极,判断螺线管中的电流方向。
答 案:由右手螺旋定则可知,题图中各线圈中的电流方向如图所示。
2、有一铁心线圈,工作点在磁化曲线的直线段,铁心闭合,截面均匀。试分析铁心的磁感应强度B和线圈中的电流I在下列两种情况下将如何变化: (1)磁路平均长度加倍,铁心的截面积、线圈的电阻和匝数及电源电压不变。 (2)线圈的电阻加倍,磁路平均长度、铁心的截面积、线圈匝数和电源电压不变。
答 案:(1)线圈的电阻及电源电压不变,则线圈中的电流I不变;磁路平均长度加倍,则由
可知,磁阻增大;线圈的匝数不变,由Fm=NI可知,磁动势不变;由磁路欧姆定
可知,磁通减小,铁心的截面积不变,则磁感应强度B减小。
(2)线圈的电阻加倍,电源电压不变,则线圈中的电流I减小;线圈的匝数不变,由Fm=NI可知,磁动势减小;线圈的磁阻不变,则由磁路欧姆定律
可知,磁通减小,铁心的截面积不变,磁感应强度B减小。
2025年高职单招《电工技术基础与技能》每日一练试题02月26日 02-26 2025年高职单招《电工技术基础与技能》每日一练试题09月26日 09-26 2025年高职单招《电工技术基础与技能》每日一练试题01月26日 01-26 2025年高职单招《电工技术基础与技能》每日一练试题04月26日 04-26 2025年高职单招《电工技术基础与技能》每日一练试题05月26日 05-26 2025年高职单招《电工技术基础与技能》每日一练试题03月26日 03-26 2025年高职单招《电工技术基础与技能》每日一练试题06月26日 06-26 2025年高职单招《电工技术基础与技能》每日一练试题07月26日 07-26