2025-08-09 18:14:35 来源:勒克斯教育网
2025年高职单招《机械专业》每日一练试题08月09日,可以帮助我们积累知识点和做题经验,进而提升做题速度。通过高职单招每日一练的积累,助力我们更容易取得最后的成功。
判断题
1、在RLC串联交流电路中,UR不可能大于总电压U,UL、UC可能大于总电压U。()
答 案:错
2、与电流源串联的元件对外电路而言可以视为短路。()
答 案:错
3、铁磁性物质的磁感应强度与磁场强度之间的关系是线性的。()
答 案:错
单选题
1、在连续切削过程中,切屑厚度变化的机加工是()
答 案:D
2、(2019年高考题)图9-4为平面磨削加工示意图,加工时,磨削的进给运动有()

答 案:C
解 析:平面磨削加工时的进给运动共有3个:工作台的纵向进给运动、砂轮架的横向进给运动和砂轮架的垂直进给运动。
3、如图6-6所示为尖顶式从动件一个运动周期的速度曲线,则下列说法正确的是()

答 案:B
解 析:该题考查了两种运动规律的从动件的速度曲线。做等加速等减速的从动件,速度曲线为斜直线,O、A、C处加速度有限突变,有柔性冲击。做等速运动的从动件,速度曲线为横直线,D处速度有限突变,有刚性冲击。加速度曲线的转折处有柔性冲击点,速度曲线的突变处或加速度曲线上趋于无穷大的点为刚性冲击点。
填空题
1、若用先导型溢流阀实现多级压力回路,则远程控制口处的调定压力应()主油路的调定压力。(填“大于”“小于”或“等于”)
答 案:小于
2、当一对齿轮啮合时,若Pb1>Pb2,则会出现齿侧侧隙(),反转时有()现象;若Pb1<Pb2,则会因齿廓(),而出现()现象。
答 案:增大,冲击,局部重叠,卡死
3、当三个公差组的精度等级不同时,第Ⅱ公差组的精度等级可以高于或低于第Ⅰ公差组的精度等级,但不得高过()级或低过()级。
答 案:2,1
简答题
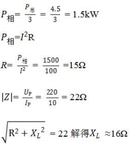
1、如图所示,负载为三相感性对称负载,电源线电压UL=220V,f=50Hz,电流表的读数均为17.3A,P总=4.5kW。
(1)求各相的电阻和感抗;
(2)当A、B间断开时,求各表的读数及总功率P。
答 案:解:(1)△负载中:
对称感性负载P总=3P相
(2)AB相断开时A1、A2表读数为相电流10A,A3表读数为线电流17.3A。