2025-07-27 16:38:50 来源:勒克斯教育网
2025年高职单招《电工技术基础与技能》每日一练试题07月27日,可以帮助我们积累知识点和做题经验,进而提升做题速度。通过高职单招每日一练的积累,助力我们更容易取得最后的成功。
判断题
1、三相负载为三角形联结时,线电流的大小一定等于相电流的3倍。()
答 案:错
解 析:三相负载为三角形联结时,若三相负载对称,线电流与相电流的大小关系为
。故错误
2、人们平时所用的交流电压表、电流表测出的数值都是有效值。()
答 案:对
解 析:人们平时所用的交流电压表、电流表测出的数值都是有效值。故正确。
单选题
1、人体接触220V裸线会发生触电事故,如图所示,鸟儿两脚站在高压裸电线上却没有危险,原因是()
答 案:C
解 析:高压电线上的电压是指两根高压线之间或高压线与地面之间的电压,人和鸟都是导体,人站在地上和220火线接触,相当于接在火线和地线之间,电压很大,会造成触电事故,鸟儿两只脚站在同一根高压线上且距离很近,电压很小,故不触电,没有危险。故C 正确。
2、在互感现象中,互感电动势的大小与()成正比。
答 案:C
解 析:互感电动势
即互感电动势的大小与通过邻线圈的原电流的变化率成正比。故C 正确。
主观题
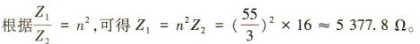
1、有一电压比为220V/12V的降压变压器,二次绕组接16Ω的负载,求该变压器一次绕组的输入阻抗。
答 案:

2、如图所示电路,当开关S闭合时,电压表读数U1=24V,当开关S断开时,电压表读数U2=25.2V,已知R=10Ω,试求电源内阻r。
答 案:由闭合电路欧姆定律,开关S闭合时,有U1=E-Ir=IR, 开关S 断开时,有U2=Uoc=E=25.2V, 联立解得r=0.5Ω。
填空题
1、()经过的闭合路径称为磁路,磁路欧姆定律的表达式为()
答 案:磁通 
解 析:磁通经过的闭合路径称为磁路,磁路欧姆定律的表达式为
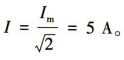
2、已知正弦交流电流
,该电流的有效值为I=()A。
答 案:5
解 析:正弦交流电流
该电流的最大值为
则其有效值为
简答题
1、有一铁心线圈,工作点在磁化曲线的直线段,铁心闭合,截面均匀。试分析铁心的磁感应强度B和线圈中的电流I在下列两种情况下将如何变化: (1)磁路平均长度加倍,铁心的截面积、线圈的电阻和匝数及电源电压不变。 (2)线圈的电阻加倍,磁路平均长度、铁心的截面积、线圈匝数和电源电压不变。
答 案:(1)线圈的电阻及电源电压不变,则线圈中的电流I不变;磁路平均长度加倍,则由
可知,磁阻增大;线圈的匝数不变,由Fm=NI可知,磁动势不变;由磁路欧姆定
可知,磁通减小,铁心的截面积不变,则磁感应强度B减小。
(2)线圈的电阻加倍,电源电压不变,则线圈中的电流I减小;线圈的匝数不变,由Fm=NI可知,磁动势减小;线圈的磁阻不变,则由磁路欧姆定律
可知,磁通减小,铁心的截面积不变,磁感应强度B减小。
2、电路通常有几种工作状态?各种状态分别有什么特点?
答 案:电路有通路、开路、短路三种工作状态。通路状态的电路特点是电路构成闭合回路,电路中有电流通过。开路状态的 电路特点是电路断开,电路中无电流通过,负载没有进入工作状态,开路又称断路。短路状态的电路特点是电路中能通过 电流,但是电流很大,电流没有经过负载,负载没有工作,由于电流很大,很容易引起烧坏电源和导线,这是一种故障状态, 容易引发事故。
2025年高职单招《电工技术基础与技能》每日一练试题04月27日 04-27 2025年高职单招《电工技术基础与技能》每日一练试题06月27日 06-27 2025年高职单招《电工技术基础与技能》每日一练试题05月27日 05-27 2025年高职单招《电工技术基础与技能》每日一练试题02月27日 02-27 2025年高职单招《电工技术基础与技能》每日一练试题08月27日 08-27 2025年高职单招《电工技术基础与技能》每日一练试题09月27日 09-27 2025年高职单招《电工技术基础与技能》每日一练试题01月27日 01-27 2025年高职单招《电工技术基础与技能》每日一练试题03月27日 03-27