2025-07-13 16:27:05 来源:勒克斯教育网
2025年高职单招《电工技术基础与技能》每日一练试题07月13日,可以帮助我们积累知识点和做题经验,进而提升做题速度。通过高职单招每日一练的积累,助力我们更容易取得最后的成功。
判断题
1、求解时间常数时,一定要使动态电路处于换路之前的状态。
答 案:错
解 析:时间常数是决定换路后的暂态过程的参数,要用换路后的电路参数来求。故错误。
2、电路的瞬态过程是一个暂时的过程,一段时间后将消失。
答 案:对
解 析:电路从一种稳定状态向另一种稳定状态的转变过程称为瞬态过程,也称为过渡过程。因此电路的瞬态过程是一个暂时的过程,一段时间后将消失。故正确。
单选题
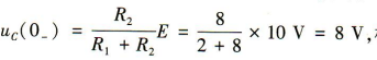
1、如图所示电路,已知E=10V,R1=2Ω,R2=8Ω,开关S断开前电路已处于稳态,则当开关S断开的瞬间,iC(0+)为()
答 案:B
解 析:当开关S断开前,
根据换路定律有uC(0+)=uC(0-)=8V,开关S断开后,电容C与R2组成闭合回路,所以
故B正确。
2、在外磁场作用下,()能够被磁化。
答 案:C
解 析:在外磁场作用下,只有铁磁性物质才能被磁化,硅钢片是铁磁性物质。故C正确。
主观题
1、某三相对称交流电源采用星形联结,其中U相电压
(1)写出V相和W相相电压的瞬时值表达式。
(2)写出三个线电压的表达式。
(3)画出相电压与线电压的矢量图。
答 案:(1)在三相对称交流电源中,各相电压的最大值相等、频率相同、相位互差120°。
(2)电源采用星形联结,则线电压的大小是相电压的3倍,相位超前相应的相电压30°,且初相的范围为(-180°,180°]。
(3)根据(1)(2)得出的瞬时值表达式可画出如图所示的电压矢量图。
2、如图所示电路开关S闭合前电路已处于稳态。试用三要素法求开关S闭合后的uC。
答 案:

填空题
1、三相四线制供电系统可输出两种电压,即()和()
答 案:相电压 线电压
解 析:三相四线制供电系统可输出两种电压,分别为相电压和线电压
2、三相对称负载作星形联结时,中性线上的电流为(),三相对称负载作三角形联结时,线电流为相电流的()倍。
答 案:0 
解 析:三相对称负载作星形联结时,中性线上的电流为0;三相对称负载作三角形联结时,线电流为相电流的
倍。
简答题
1、如图所示,用方框代表电路元件。试判断并说明各元件上电压、电流的实际方向。
答 案:电流、电压为正,实际方向与参考方向相同,反之,实际方向与参考方向相反。则题图甲电压实际方向从m 到n,电流 实际方向从n 到 m;题图乙电压实际方向从n 到m, 电流实际方向从m 到n; 题图丙电压实际方向从n 到m,电流实际方向 从m 到 n; 题图丁电压实际方向从m 到 n, 电流实际方向从m 到n。
2、在如图所示的电路中,当开关S未闭合时,3盏灯都不亮。简述当开关S闭合后,三盏灯发生的现象。
答 案:当开关S闭合后,灯EL1立刻正常发光;灯EL2逐渐变亮,经过一段时间达到与灯EL1同样的亮度;灯EL3突然亮一下后熄灭。
2025年高职单招《电工技术基础与技能》每日一练试题09月13日 09-13 2025年高职单招《电工技术基础与技能》每日一练试题01月13日 01-13 2025年高职单招《电工技术基础与技能》每日一练试题04月13日 04-13 2025年高职单招《电工技术基础与技能》每日一练试题03月13日 03-13 2025年高职单招《电工技术基础与技能》每日一练试题05月13日 05-13 2025年高职单招《电工技术基础与技能》每日一练试题06月13日 06-13 2025年高职单招《电工技术基础与技能》每日一练试题08月13日 08-13 2025年高职单招《电工技术基础与技能》每日一练试题02月13日 02-13