2025-07-06 16:13:19 来源:勒克斯教育网
2025年高职单招《电工技术基础与技能》每日一练试题07月06日,可以帮助我们积累知识点和做题经验,进而提升做题速度。通过高职单招每日一练的积累,助力我们更容易取得最后的成功。
判断题
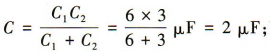
1、标称值为“6μF/50V”和“3μF/100V”的两个电容器串联后的电路耐压为150V。
答 案:对
解 析:根据电容器的串联规律,串联后电容器组的等效电容
两电容器的额定带电荷量分别为Q1=C1U1=6×10-6×50C=3×10-4C,Q2=C2U2=3×10-6×100C=3×10-4C,则串联后的电容器组的额定带电荷量Q=3×10-4C;电容器组的耐压
2、磁通变化是产生感应电流的必要条件之一。
答 案:对
解 析:磁通变化与形成闭合回路是产生感应电流的必要条件。故正确。
单选题
1、某正弦交流电的电压随时间变化的规律如图所示。由图可知()


答 案:B
解 析:根据题图可知,该交流电的频率
故A错误。根据交流电压的有效值和峰值之间的关系可知该交流电压的有效值为
故B正确。该交流电压瞬时值的表达式为
故C错误。若将该交流电压加在阻值R=50Ω的电阻两端,则该电阻消耗的功率为
故D错误。
2、如图所示为三相异步电动机的6个接线柱,现把其中的3个接线柱U2、V2、W2短接在一起,把另3个接线柱分别接三相交流电源的三根相线,则三相异步电动机的这种接线方式称为()
答 案:A
解 析:把三相异步电动机的6个接线柱中的其中的3个接线柱U2、V2、W2短接在一起,把另3个接线柱分别接三相交 流电源的三根相线,这种接线方式是星形联结。故A正确。
主观题
1、在某电路中,
(1)写出该交流电流的最大值、有效值、周期、频率、角频率及初相,并画出波形图。
(2)若i选的参考方向相反,写出它的瞬时值表达式,画出波形图,判断(1)问中的各项有无改变。
答 案:

(2)若i选的参考方向相反,则初相变为
则此时i的瞬时值表达式为
最大值、有效值、周期、频率、角频率都无改变,初相变化。
2、如图所示为多量程电流表的原理图,已知表头参数Ig=100μA,Rg=1kΩ,R0=9kΩ。若各挡的量程分别为Im1=0.1A,Im2=0.5A,求分流电阻R1、R2的大小。
答 案:选择L,挡位时,等效电路如图甲所示。由欧姆定律有
选择Im2挡位时,等效电路如图乙所示。由欧姆定律有
联立解得R1=8Ω
填空题
1、对于数值相对较小的交流信号,其信号电压的有效值可用()进行测量。
答 案:交流毫伏表
解 析:对于数值相对较小的交流信号,其信号电压的有效值可用交流毫伏表进行测量
2、正弦交流电的相位差表明了两个交流电在时间上()或()的关系。
答 案:超前 滞后
解 析:正弦交流电的相位差表明了两个交流电在时间上超前或滞后的关系
简答题
1、什么是电路的瞬态过程?为什么具有电感或电容的电路中会存在瞬态过程?
答 案:在含有储能元件(电容、电感)的电路中,当工作条件发生变化时,电路将改变原来的工作状态,这种变换需要经历一定变换过程,这个过程的变化都是逐渐、连续的,而不是突然、间断的,并且都是在很短的时间内完成的,这一过程称为电 路的瞬态过程。发生换路时,电路中的能量不能跃变,而电感与电容都是储能元件,因此具有电感或电容的电路会存在瞬态过程
2、如图所示,图甲中条形磁铁靠近线圈,图乙中条形磁铁远离线圈,试判断感应电流的方向和感生磁场的极性,并在图中标注出来。
答 案:题图甲中螺线管内磁通的变化趋势是增加的,感生磁场的极性与磁铁相反,为上“N”下“S”,根据右手螺旋定则,电流由上端流出。题图乙中螺线管内磁通的变化趋势是减少的,感生磁场的极性与磁铁相同,为上“S”下“N”,根据右手螺旋定则,电流由上端流入。标注如图所示。
2025年高职单招《电工技术基础与技能》每日一练试题06月07日 06-07 2025年高职单招《电工技术基础与技能》每日一练试题06月06日 06-06 2025年高职单招《电工技术基础与技能》每日一练试题07月07日 07-07 2025年高职单招《电工技术基础与技能》每日一练试题09月06日 09-06 2025年高职单招《电工技术基础与技能》每日一练试题10月06日 10-06 2025年高职单招《电工技术基础与技能》每日一练试题02月06日 02-06 2025年高职单招《电工技术基础与技能》每日一练试题05月06日 05-06 2025年高职单招《电工技术基础与技能》每日一练试题06月12日 06-12