2025-06-22 17:22:46 来源:勒克斯教育网
2025年高职单招《电子电工类》每日一练试题06月22日,可以帮助我们积累知识点和做题经验,进而提升做题速度。通过高职单招每日一练的积累,助力我们更容易取得最后的成功。
判断题
1、射极跟随器实质是 一 个深度电压串联负反馈放大器。( )
答 案:对
2、放大器在进行动态分析时,所有电容器都可看成短路。( )
答 案:错
单选题
1、如图所示的理想变压器中,N1=N2,当开关K闭合时,下列说法正确的是()
答 案:D
2、下列电路中,可能产生自激振荡的是()




答 案:B
多选题
1、电路中R1的作用是 ,D1和 D2作用是 。( )
答 案:A;B
2、多级直流放大电路中,影响零点漂移最严重的一级是 ,零点漂移最大的一级是 ( )
答 案:A;C
主观题
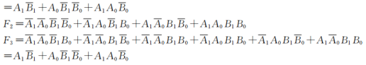
1、根据组合逻辑电路的设计步骤,请设计一个两位二进制比较电路。(进行比较的两个两位二进制数分别为A1、A0和B1、B0)
答 案:解:由题意,其输出有F1、F2、F3三个函数,F1表示Ai>Bi、F2表示Ai=Bi,F3表示Ai<Bi,则有如下真值表:
根据真值表列函数表达式,并化简:
根据函数表达式画电路图(略)
2、应用与非门集成电路74LS00实现Y=AB+CD,使用+5V的电源电压,试画出集成电路的引线接线图。
答 案:解:先将逻辑函数式化成与非一与非式
,再连线。 接线图(略)
填空题
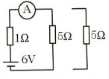
1、左下图中,电流表读数为()A,若将5Ω电阻并联上去读数将变为()A。
答 案:1;1.71
2、功率放大器按功放管静态工作点的设置可分为 、 、 。
答 案:甲类 乙类 甲乙类