2025-05-21 16:42:19 来源:勒克斯教育网
2025年高职单招《电工技术基础与技能》每日一练试题05月21日,可以帮助我们积累知识点和做题经验,进而提升做题速度。通过高职单招每日一练的积累,助力我们更容易取得最后的成功。
判断题
1、交流电的频率越高,对人体的危害越大。()
答 案:错
解 析:频率在50~100 Hz的电流对人体最危险。故错误。
2、导磁性能良好的金属罩可以吸收外磁场,使罩内的器件免受外磁场的干扰。
答 案:对
解 析:导磁性能良好的金属罩可以起到磁屏蔽的作用,吸收外磁场,使罩内的器件免受外磁场的干扰。故正确。
单选题
1、戴维宁定理可以将线性有源二端网络等效转化为()
答 案:A
解 析:戴维宁定理可以将线性有源二端网络等效转化为一个恒压源E0与电阻R0串联。故A正确
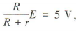
2、用如图所示电路测定电池组的电动势和内阻。其中电压表的内阻足够大,定值电阻R=5Ω。在未接通开关时,电压表读数为6V;接通开关后,电压表读数变为5V。则电池组的电动势和内阻分别为()
答 案:C
解 析:未接通开关时,电压表读数即电源电动势,则E=U1=6V;接通开关后,根据电阻串联分压规律有U2=
解得r=1Ω。故C正确。
主观题
1、如图所示的电路,已知US=12V,RS=4Ω,r1=20cm,r2=25cm,线圈匝数N=1000,线圈内阻为R0=2Ω。求:
(1)当线圈中的磁介质为空气时,线圈中的电流I、磁场强度H、磁感应强度B、磁通更,并在图中标出线圈中的磁场方向。
(2)当线圈中插入铸铁时的
(铸铁的磁导率μ=300μ0)。
答 案:(1)介质为空气时,线圈中的电流
磁场强度
磁感应强度B=μ0H≈0.0018T,
根据右手螺旋定则,线圈中磁场的方向如图所示。
(2)插入铸铁时H’=H=1415.4A/m,
B′=μH≈0.53T,
φ'=B'A=1.04×10-3Wb。
2、在如图所示电路中,已知R=3Ω,XL=4Ω,IL=5A,cosφ=1,求IC和I。

答 案:根据题意有
则U=ILZRL=25V,
电感的无功功率
由于cosφ=1,因此QC=QL=100var,

填空题
1、交流电路的无功功率是储能元件瞬时功率的()值。
答 案:最大
解 析:交流电路的无功功率是储能元件瞬时功率的最大值
2、磁场与电场一样,是一种(),具有()和()的性质。
答 案:物质 力 能
解 析:磁场与电场一样,是一种物质,具有力和能的性质。
简答题
1、电路通常有几种工作状态?各种状态分别有什么特点?
答 案:电路有通路、开路、短路三种工作状态。通路状态的电路特点是电路构成闭合回路,电路中有电流通过。开路状态的 电路特点是电路断开,电路中无电流通过,负载没有进入工作状态,开路又称断路。短路状态的电路特点是电路中能通过 电流,但是电流很大,电流没有经过负载,负载没有工作,由于电流很大,很容易引起烧坏电源和导线,这是一种故障状态, 容易引发事故。
2、如图所示为一模拟计算机的加法电路,图中US1、US2、US3为拟相加的数量,试证明输出电压U与被相加电压之和(US1+US2+US3)成正比。
答 案:将题图所示电路中的电压源转换为电流源,等效电路如图所示。其中
,右侧并联电阻的总阻值
则输出电压
即输出电压与被相加电压之和(US1+US2+US3)成正比。
2025年高职单招《电工技术基础与技能》每日一练试题01月21日 01-21 2025年高职单招《电工技术基础与技能》每日一练试题04月21日 04-21 2025年高职单招《电工技术基础与技能》每日一练试题06月21日 06-21 2025年高职单招《电工技术基础与技能》每日一练试题03月21日 03-21 2025年高职单招《电工技术基础与技能》每日一练试题08月21日 08-21 2025年高职单招《电工技术基础与技能》每日一练试题07月21日 07-21 2025年高职单招《电工技术基础与技能》每日一练试题02月21日 02-21 2025年高职单招《电工技术基础与技能》每日一练试题10月21日 10-21