2025-12-05 11:14:12 来源:勒克斯教育网
2025年成考专升本《高等数学二》每日一练试题12月05日,可以帮助我们积累知识点和做题经验,进而提升做题速度。通过成考专升本每日一练的积累,助力我们更容易取得最后的成功。
判断题
1、若
,则
。()
答 案:错
解 析:
单选题
1、设函数z=x3+y3,则
().

答 案:D
解 析:求z对y的偏导,将x看作常数,故
.
2、函数
的单调递增区间是().
答 案:C
解 析:
,由y'>0得x>0,所以函数
在(0,+∞)上单调递增.
主观题
1、一批零件中有10个合格品和2个废品,安装机器时,从这批零件中任取一个,如果每次取出废品后不再放回,用X表示在取得合格品以前已取出的废品数,求:(1)随机变量X的分布列;
(2)随机变量X的分布函数.
答 案:解:(1)由题意知,随机变量X的可能值是0,1,2,且有
随机变量x的分布列为
(2)随机变量X的分布函数为
2、计算
.
答 案:解:
.
填空题
1、已知函数
在x=0处连续,则a=().
答 案:2
解 析:函数f(x)在x=0处连续,可知
,
,
,得a=2.
2、已知
,则
=().
答 案:
解 析:由题意可知,
,故
简答题
1、计算
答 案:由洛必达法则有
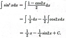
2、
答 案: