考试总分:10分
考试类型:模拟试题
作答时间:60分钟
已答人数:1898
试卷答案:有
试卷介绍: 2022年高职单招每日一练《数学》10月11日专为备考2022年数学考生准备,帮助考生通过每日坚持练习,逐步提升考试成绩。
A{ x | y=x2 }和{ y l y=x2}是同一个集合
B平面直角坐标系中第一象限的点集可表示为{(x,y)|x>0,y>0}
C∅={0}
D{x∉N|x<9}={1,2,3,4,5,6,7,8,9}
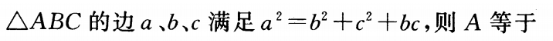
A30°
B60°
C135°
D120°
,则下列四个数中最大的是()。A
B
C
Da
A距离和时间都是向量
B凡是等长的有向线段表示同一个向量
C零向量没有方向
D线段AB的长度叫做有向线段
的模
,已知集合M、N、P,且
,则M与P的关系是______。
的定义域是_____.

,且过点(2,1)
,求以下的概率: