大数据采集与存储大数据采集与存储-考试模拟卷(五)

考试总分:65分

考试类型:模拟试题

作答时间:90分钟

已答人数:481

试卷答案:没有

试卷介绍: 大数据采集与存储已经整理好,需要备考的朋友们赶紧来刷题吧!

开始答题

试卷预览

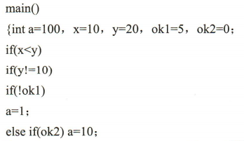
  • 1. 以下程序的输出结果是(   ) main()  

    A1                              

    B0                                  

    C-1                             

    D值不确定

  • 2. 在Word2010中,替换对话框设定了搜索范围为向下搜索并按“全部替换”按钮,则()  

    A对整篇文档查找并替换匹配的内容

    B从插入点开始向下查找并替换当前找到的内容

    C从插入点开始向下查找并全部替换匹配的内容

    D从插入点开始向上查找并替换匹配的内容

  • 3. 打开“拼写检查”对话框的快捷键是()  

    AF1

    BCtrl+F

    CShift+F

    DF7

  • 4. 在Word中,关于“宏”的说法正确的是()  

    A是一种专用程序,可以建立也可以修改

    B执行宏就是无序执行它所包含的全部操作

    C录制宏的过程不能使用鼠标

    D录制宏的过程中,鼠标在文档编辑区、菜单栏、工具栏滚动条上均可使用。

  • 5. 在Word2010中,下面有关文档分页的叙述,错误的是()  

    A分页符也能打印出来

    B可以自动分页,也可以人工分页

    C将插入点置于人工分页符上,按Del可以删除该分页符

    D分页符标志着前一页的结束,新一页的开始

  • 1. 微机内部电源向外提供的直流电输出有()。  

    A+5V

    B-5V

    C+12V

    D-12V

  • 2. 对于主板而言,以下哪些项目是由芯片组决定的?()  

    A外部频率

    B机箱电源的品牌

    C支持的内存种类

    D支持的总线

  • 3. 主板上通常提供一个软驱连接插座,可能的标注为()。  

    AFloppy

    BFDC

    CFDD

    DFDE

  • 4. 下面有关硬盘故障的论述,正确的是()  

    A硬盘故障不可能影响微机大型应用软件的使用

    B硬盘故障会使微机无法正常启动

    C硬盘故障会使微机找不到引导盘

    D硬盘故障会使微机的数据或文件丢失

  • 5. 激光打印机使用的注意事项包括(  )  

    A打印时尽量不要打印信封以及纸质超厚纸张

    B墨粉使用完后,应从新换鼓,不提倡重新装墨粉

    C处理卡纸时候,应先关掉电源

    D定期对打印机清洗

  • 1. 每个web站点必须有一个主目录来发布信息,IIS默认的主目录是(),除了主目录外还可以采用()作为发布目录。 (1)A、\Website B、\Inetpub\wwwroot C、\Internet D、\internet\website (2)A、备份目录 B、副目录 C、虚拟目录 D、子目录