考试总分:8分
考试类型:模拟试题
作答时间:60分钟
已答人数:1539
试卷答案:有
试卷介绍: 2025年高职单招每日一练《数学(中职)》12月5日专为备考2025年数学(中职)考生准备,帮助考生通过每日坚持练习,逐步提升考试成绩。
A[2,+∞)
B[-4,+∞)
C(-∞,2]
D(-∞,-4]
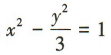
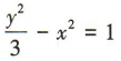
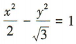
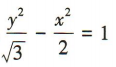
为渐近线,且其中一个焦点是F(0,2)的双曲线的方程是()
A
B
C
D
A1
B
C
D-2

,且经过点M(4,1),直线l:y=x+m交椭圆于异于M的
不同两点A、B,直线MA、MB与x轴分别交于点E、F.
(1)求椭圆的标准方程;(2)求m的取值范围