考试总分:10分
考试类型:模拟试题
作答时间:60分钟
已答人数:1371
试卷答案:有
试卷介绍: 2025年高职单招每日一练《数学》12月1日专为备考2025年数学考生准备,帮助考生通过每日坚持练习,逐步提升考试成绩。
A对
B错
A对
B错
A81
B27
C22
D9
A第一象限
B第二象限
C第三象限
D第四象限
A对角互补的四边形是圆内接四边形
B圆的切线垂直于圆的半径
C正多边形中心角的度数等于这个正多边形一个外角的度数
D过圆外一点所画的圆的两条切线长相等
A
B-5∈Z
C
D1/2∈Q
的对称中心,并
________.
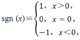
则不等式x+2>(2x-1)sgn(x)的解集为________.
,则
的值为()