考试总分:10分
考试类型:模拟试题
作答时间:60分钟
已答人数:671
试卷答案:有
试卷介绍: 2025年高职单招每日一练《数学》11月30日专为备考2025年数学考生准备,帮助考生通过每日坚持练习,逐步提升考试成绩。
A对
B错
A对
B错
A充分而不必要条件
B必要而不充分条件
C充要条件
D既不充分又不必要条件
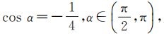
则tanα=()A
B
C
D
,则下列结论正确的是( )
Aπ是f(x)的一个周期
Bf(x)在
上是增函数
Cf(x)的最大值为
Df(x)在[0,2π]上有2个极值点
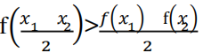
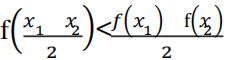
A(x1 -x2 )[f(x1 )-f(x2 )]<0
B(x1 -x2 )[f(x1 )-f(x2 )]>0
C
D
的图像在点
处的切线方程为y=2x+1.
(Ⅰ)求实数a,b 的值;
(Ⅱ)设
.
(ⅰ)求实数的最大值;
(ⅱ)当m取最大值时,是否存在点Q ,使得过点Q的直线能与曲线y=g(x)围成两个封闭图形,则这两个封闭图形的面积总相等?若存在,求出点Q的坐标;若不存在,说明理由.