2025年高职单招每日一练《数学》11月28日

考试总分:10分

考试类型:模拟试题

作答时间:60分钟

已答人数:360

试卷答案:有

试卷介绍: 2025年高职单招每日一练《数学》11月28日专为备考2025年数学考生准备,帮助考生通过每日坚持练习,逐步提升考试成绩。

开始答题

试卷预览

  • 1. 已知2x=1,则x=0。()  

    A

    B

  • 2. 函数y=sin(3x+π/2)的最大值为3。()  

    A

    B

  • 1. 下列各点中,在一次函数y=3x+1的图象上的点为()  

    A(3,5)

    B(2,7)

    C(2,-2)

    D(4,9)

  • 2. 小明总结了以下结论: ①a(b+c)=ab+ac;②a(b-c)=ab-ac;③(b-c)÷a=b÷a-c÷a(a≠0);④a÷(b+c)=a÷b+a÷c(a≠0)其中一定成立的个数是()  

    A1

    B2

    C3

    D4

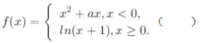
  • 1. 已知函数(  )  

    A若f(x)的最小值为-1,则a=2

    B当a≥0时,f(x)≥0恒成立

    C当a≤0时,存在x0∈R且x0≠0,使得f(x0)=f(-x0

    D存在a∈R,使得对任意x∈R,f(x)>1-a恒成立

  • 2. 当函数在 x=x0处的导数为 0 时,那么 x0可以是( )  

    Aa

    B0

    C-a

    Da2

  • 1. 已知f(x)是定义在R上的奇函数,且当x>0时,f(x)=1-3x. (1)求函数f(x)的解析式; (2)当x∈[2,8]时,不等式恒成立,求实数a的取值范围.
  • 2. 某旅游景点预计2017年1月份起前x个月的旅游人数的和p(x)(单位:万人)与x的关系近似地满足p(x)=x(x+1)(39-2x)(x∈N*,且x≤12).已知第x个月的人均消费额q(x)(单位:元)与x的近似关系是 (1)写出2017年第x个月的旅游人数f(x)(单位:人)与x的函数关系式; (2)试问2017年第几个月旅游消费总额最大?最大月旅游消费总额为多少元?
  • 1.  
  • 2. 写出使成立的一个充分不必要条件_______.