2025年高职单招每日一练《职业适应性测试》11月27日

考试总分:10分

考试类型:模拟试题

作答时间:60分钟

已答人数:395

试卷答案:有

试卷介绍: 2025年高职单招每日一练《职业适应性测试》11月27日专为备考2025年职业适应性测试考生准备,帮助考生通过每日坚持练习,逐步提升考试成绩。

开始答题

试卷预览

  • 1. 高中生的职业规划应该从高一开始进行。( )

    A

    B

  • 2. 在使用黑板擦擦黑板时,高中生对出现的粉尘问题无能为力。(   )  

    A

    B

  • 3. 问卷是调查、访谈时常见的数据采集方式。()

    A

    B

  • 1. 清末民初新式学堂中教唱的歌曲是( )

    A学堂歌曲

    B学堂乐歌

    C新兴乐歌

    D学校乐歌

  • 2. 在PowerPoint2010中,新建幻灯片的默认版式为()

    A内容

    B文字

    C文字加内容

    D空白

  • 3. 学校举行升国旗仪式时,你应肃立,如果旁边的人找你交谈,最适宜的行为是()

    A肢体交流

    B及时制止

    C不予理会

    D与他交谈

  • 1. 以下是小明在设计过程中的若干环节,其中在制订设计方案阶段进行的有()(多选)。  

    A设计分析

    B画出机械加工图

    C对方案进行细化

    D根据图样进行加工

    E测试、评估及优化

  • 2. 新能源的特点有()

    A替代性强

    B污染小

    C易储存

    D数量大

  • 3. 当发生火灾的时候我们会下意识地选择用水灭火。事实上,并非所有的火灾都可以用水扑救。下列火灾类型中不能用水直接扑灭的是()

    A森林火灾

    B酒精起火

    C电路起火

    D煤气爆炸

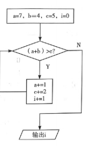
  • 1. 10.有流程图如图所示,请回答以下问题:(1)输出i的值是(   )
    (2)流程图中算法的基本结构是(  )。
    (3)该流程图中的循环体执行 了(   ) 次。