考试总分:10分
考试类型:模拟试题
作答时间:60分钟
已答人数:469
试卷答案:有
试卷介绍: 2025年高职单招每日一练《数学》11月13日专为备考2025年数学考生准备,帮助考生通过每日坚持练习,逐步提升考试成绩。
A对
B错
A对
B错
ABC=B'C'
B∠A=∠A'
CAC=A'C'
D∠C=∠C'
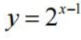
的反函数为()
A
B
C
D
A0
Ba7=1
CK9>K5
DK6与K7均为Kn的最大值
A相切两圆的连心线经过切点
B长度相等的两条弧是等弧
C平分弦的直径垂直于弦
D相等的圆心角所对的弦相等
存在两个极值点x1,x2,且
,求F(x1)-F(x2)的最大值.
x(x+1)(39-2x)(x∈N*,且x≤12).已知第x个月的人均消费额q(x)(单位:元)与x的近似关系是
(1)写出2017年第x个月的旅游人数f(x)(单位:人)与x的函数关系式;
(2)试问2017年第几个月旅游消费总额最大?最大月旅游消费总额为多少元?
的定义域是_____.