考试总分:10分
考试类型:模拟试题
作答时间:60分钟
已答人数:1962
试卷答案:有
试卷介绍: 2025年高职单招每日一练《计算机专业》8月6日专为备考2025年计算机专业考生准备,帮助考生通过每日坚持练习,逐步提升考试成绩。
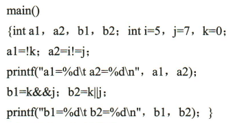
A5
B4
C3
D7
A仅(1)
B(1)(2)
C(1)(2)(3)
D全部
A减慢程序运行速度
B增加文件的长度
C出现新的奇怪的文件
D降低可以使用的内存总数
E发出奇怪的声音或者图像
F删除计算机中的文件
G破坏硬盘甚至BIOS。
A芯片组
B各种I/O控制芯片
C扩展槽
DBIOS/CMOS芯片



(1)单击“视图”选项卡→“宏”,打开“()”对话框。
(2)在“()”文本框输入要录制宏的名称:“缩图”。
(3)在“()”框中输入该宏的作用“将图片缩小至原图的50%”。
(4)单击“将宏指定到”组中的“按钮”,打开“()”对话框,在左侧窗口中选定新建宏单击“添加”按钮,单击“确定”按钮,开始录制宏。