考试总分:8分
考试类型:模拟试题
作答时间:60分钟
已答人数:496
试卷答案:有
试卷介绍: 2025年高职单招每日一练《数学(中职)》7月1日专为备考2025年数学(中职)考生准备,帮助考生通过每日坚持练习,逐步提升考试成绩。
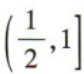
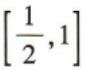
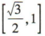
的取值范围是()A
B
C
D
A{x|x<0}
B{x|x>1}
C{x|x∈R}
D{x|0<x<1}
Ay =2sin(2x+π/4)
By =2sin(2x+π/3)
Cy =2sin(2x-π/4)
Dy =2sin(2x-π/3)

的展开式中,含x5的项是第()项.
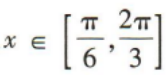
的最小值为