2025-12-08 14:55:12 来源:勒克斯教育网
2025年高职单招《数学》每日一练试题12月08日,可以帮助我们积累知识点和做题经验,进而提升做题速度。通过高职单招每日一练的积累,助力我们更容易取得最后的成功。
判断题
1、“a=1”是“|a|=1”的充分但不必要条件。()
答 案:对
解 析:明显,当a=1时,a的绝对值=1,所以a=±1,不能推出a=1,所以是充分但不必要条件,故正确
2、已知函数
,则f(3)=9。()
答 案:对
单选题
1、设自变量x∈R,下列是偶函数的是()
答 案:D
2、下列各式中,一定能成立的是()




答 案:A
解 析:
多选题
1、下列说法不正确的是()
答 案:BCD
解 析:A、根据圆的轴对称性可知此命题正确,不符合题意;B、等弧指的是在同圆或等圆中,能够完全重合的弧.而此命题没有强调在同圆或等圆中,所以长度相等的两条弧,不一定能够完全重合,此命题错误,符合题意;C、此弦不能是直径,命题错误,符合题意;D、相等的圆心角指的是在同圆或等圆中,此命题错误,符合题意;故选:BCD
2、已知函数
( )
答 案:AC
主观题
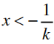
1、设函数f(x)=xekx,x∈R,(k≠0),试讨论函数的单调性.
答 案:f'(x)=ekx+xkekx=ekx(kx+1), 当k>0时,令f'(x)>0,即kx+1>0,得x>
令f'(x)<0,即kx+1<0,得
,
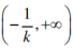
当k>0时,f(x)=xekx在
单调递减,在
单调递增;
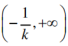
当k<0时,令f’(x)>0,即kx+1>0,得
令f'(x)<0,即kx+1<0,得
,
当k<0时,f(x)=xekx在
单调递增,在
单调递减;
综上所述:当k>0时,f(x)=xekx在
单调递减,在
单调递增;
当k<0时,f(x)=xekx在
单调递增,在
单调递减
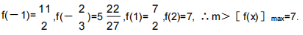
2、设
(1)求函数f(x)的单调递增、递减区间:
(2)当x∈[-1,2]时f(x)<m恒成立,求实数m的取值范围.
答 案:本题考查利用导数求函数的单调区间和最值.f(x)<m在给定区间上恒成立,即[f(x)]max<m恒成立,转化为求函数在给定区间上的最值问题 (1)令f’(x)=3x2-x-2>0得
∴函数的单调增区间为
和(1,+∞),单调减区间为
(2)原命题等价于f(x)在[-1,2]上的最大值小于m
由f′(x)=0,得
,
又
填空题
1、计算如图
=________
答 案:29-12
2、椭圆的两焦点坐标是
,且经过点F(2,—5),那么椭圆的标准方程是________,长轴长________,短轴长________,离心率e=________,四个顶点坐标为______、______、______、________。
答 案: