2025-12-02 15:01:13 来源:勒克斯教育网
2025年高职单招《物理》每日一练试题12月02日,可以帮助我们积累知识点和做题经验,进而提升做题速度。通过高职单招每日一练的积累,助力我们更容易取得最后的成功。
判断题
1、物体的密度越大受到的浮力越小。
答 案:错
解 析:物体的浮力和排开的液体的体积和密度成正比,与物体的密度和质量无关。故题干说法错误。
2、在并联电路中,电阻值越大,通过它的电流越大。
答 案:错
解 析:在并联电路中,因并联电路中各支路两端的电压相等,所以,由
可知,电阻值越大,通过它的电流越小,故题干说法错误
单选题
1、某学习小组用图甲所示的实验装置探究“动能定理”.他们在气垫导轨上安装了一个光电门B,滑块上固定一遮光条,滑块用细线绕过气垫导轨左端的定滑轮与力传感器相连,传感器下方悬挂钩码,每次滑块都从A处由静止释放﹒实验时保持滑块的质量M和A、B间的距离L不变,改变钩码质量m,测出对应的力传感器的示数F和遮光条通过光电门的时间t,通过描点作出线性图象,研究滑块动能变化与合外力对它所做功的关系,处理数据时应作出的图象是(请填写选项前对应的字母)。()
答 案:C
2、如图所示,电源电动势E=6V,内电阻r≈1Ω,电阻R=5Ω,当开关S闭合后,电路中的电流为()
答 案:B
解 析:由闭合电路欧姆定律可得:I=E/(R+r)=6/(5+1)=1A,故选B。
多选题
1、如图所示,理想变压器的原、副线圈匝数比为l:5,原线圈两端的电压如图乙所示.氖泡在两端电压达到100V时开始发光.下列说法中正确的是()
答 案:AB
2、一辆公路救援车停在平直的公路上,突然接到命令,要求从静止开始一直加速行驶赶往1公里外的出事地点,且到达出事地点时的速度为30m/s,有三种进行方式:a做匀加速直线运动;b做加速度增大的加速运动;c做加速度减小的加速运动,则()
答 案:CD
填空题
1、如图1所示,容器的侧壁上开有三个小孔,水从小孔中流出,三种情况中正确的是___图。
答 案:b
2、物理学中把()作用压在物体表面上的力叫做压力.
答 案:垂直
简答题
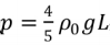
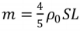
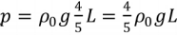
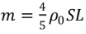
1、物体A与塑料B粘合成一个圆柱体,横截面积为S、全长为L。如图所示,将圆柱体放入密度为p0的液体中,漂浮在液面时,浸入液体中的长度为
L,塑料的密度为P。
(1)求漂浮时,物体A底面受到液体的压强;
(2)求圆柱体的总质量;
(3)将露出液面部分切掉后,圆柱体仍然竖直漂浮,求再次稳定时浸入液体中的长度。
答 案:(1)漂浮时,物体A底面受到液体的压强
;(2)圆柱体的总质量
;(3)圆柱体再次稳定时浸入液体中的长度
. 解:(1)浸入水中的深度
,则A底面受到液体的压强
;
(2)漂浮在液面上时,根据漂浮条件可知:G=mg=F浮,又根据阿基米德原理可知:
,可得圆柱体总质量为:
;
(3)由图可知:圆柱体未被切前,塑料B露出水面的体积:
,切掉部分圆柱体的重力:
,剩余的圆柱体的重力:
,假设切掉露出部分后,再次稳定时浸入液体中的长度为h’,由于切掉后剩余的圆柱体仍漂浮,根据漂浮条件和阿基米德原理可知:
,所以
解 析:本题考查物体的漂浮条件的应用及浮力与压强的综合计算,结合漂浮条件和阿基米德原理找出等量关系,列出等式进行分析解答,该题是一道综合题。(1)找到漂浮时A底面距液面的深度h,根据p=pgh表示出A底面受到液体的压强;(2)漂浮时浮力等于重力,再根据阿基米德原理表示出浮力,利用G=mg列出等式,求出圆柱体的质量;(3)首先表示出剩余圆柱体的重力,再利用漂浮条件浮力等于重力,展开推导出圆柱体再次漂浮时浸入液体的长度。
2、南昌艾溪湖风景秀丽,同学打算对湖水水质做监测,看是否适合养殖淡水鱼(密度大的水域不适宜淡水鱼类生存),为此找来了一根长1.3m,在底端内部嵌入适量重物,整体粗细均匀的木条,使其能直立漂浮在水中,并测得该简易密度计的总质量为0.5kg(g=10N/kg). (1)他们先将该木条放入足够深的清水中,测得木条露出水面0.2m.请计算出此时木条底端受到的水的压强及木条受到的浮力.(清水的密度为1.0×103kg/m3). (2)请通过计算说明应在离木条顶端多远的位置标上红线,表示湖水密度达到1.05×103kg/m3,以监测湖水的密度是否超标.
答 案:(1)此时木条底端受到的水的压强1.0×104Pa,木条受到的浮力为5N;(2)在距离木条上端0.25m的位置画上表示湖水密度达到1.05×103kg/m3时的红线. 解:(1)h=1.3m-0.2m=1.1m木条受到水的压强:P=pgh=1.0×103kg/m3×10N/kg×1.1m=1.1×10·Pa;木条漂浮,处于平衡状态,木条受到的浮力:F浮=G木=mg=0.5kg×10N/kg=5N.
(2)木条密度计在清水和湖水中均处于漂浮状态,在清水中受到的浮力F浮等于在湖水中受到的浮力F浮’,即:P水gsh水=P湖gsh湖,
露出水面长度:L=1.3m-1.05m=0.25m,在距离木条上端0.25m的位置画上表示湖水密度达到1.05×103kg/m3时的红线,以监测湖水密度是否超标.
解 析:(1)求出木条底端所处深度,利用液体压强公式求木条底部受到的水的压强;知道木条质量,利用漂浮条件求木条受到的浮力;(2)木条密度计在水中和湖水中都漂浮,利用阿基米德原理求在湖水中时木条浸入的深度,从而得出红线位置.本题考查了学生对液体压强公式、阿基米德原理、物体漂浮条件的掌握和运用,涉及到自制密度计测密度,知识点多,属于难题.