2025-11-29 14:59:22 来源:勒克斯教育网
2025年高职单招《物理》每日一练试题11月29日,可以帮助我们积累知识点和做题经验,进而提升做题速度。通过高职单招每日一练的积累,助力我们更容易取得最后的成功。
判断题
1、生活用水是导体,发现家用电器或导线失火时,用水灭火会造成短路,且容易导致救火人员触电,故此时一定要先切断电源。()
答 案:对
解 析:生活常识,家用电器或者导线失火一定要先切断电源。
2、太阳能十分巨大,供应时间长久,目前太阳能的转换率也很高。()
答 案:错
解 析:太阳能十分巨大,供应时间长久,可以说是取之不尽用之不竭,但目前人类利用太阳能的转换率还较低。
单选题
1、下列关于惯性的说法,正确的是()
答 案:B
解 析:惯性只与物体的质量有关,质量越大惯性越大,与物体的状态和速度均无关,故选B
2、如图所示,水平地面上的一物体,受到方向不变的水平推力F的作用,F的大小与时间t的关系和物体的速度v与时间t的关系如图所示,以下说法正确的是()
答 案:D
解 析:A、由v-t图象可知,0~2s内物体速度为零,即物体静止(处于平衡状态),竖直方向物体受到重力和支持力,水平方向物体受到推力和摩擦力,故A错误;B、由v-t图象可知,2~4s内物体做加速直线运动,故B错误;CD、由v-t图象可知,4~6s内物体运动的速度保持4m/s不变,即做匀速直线运动,处于平衡状态,物体受到的滑动摩擦力和推力是一对平衡力,由F-t图象可知,4~6s内物体受到的推力为2N,所以该过程物体受到的滑动摩擦力f=F=2N由v-t图象可知,2~4s内物体做加速直线运动,因压力的大小和接触面的粗糙程度不变,则滑动摩擦力的大小不变,仍为2N,故C错误,D正确。故选D。
多选题
1、一小学生从滑梯上匀速滑下,在这个过程中,下列说法正确的是()
答 案:CD
解 析:A、小学生从滑梯上匀速滑下,学生对滑梯有压力,但没有在压力方向移动距离,所以压力没有做功,故A错误;BD、学生从滑梯上匀速滑下过程中,学生在重力的方向上通过了距离,所以学生受到的重力做了功,故B错误,D正确;C、小学生受到支持力作用,但不是在支持力的方向上通过的距离(支持力方向与运动方向垂直),所以支持力没做功,故C正确。故选CD。
2、一个大人和一个小孩分别将5块完全相同的砖从一楼运到三楼,大人用了20秒,小孩用了45秒,这个过程中,下列说法正确的是()
答 案:BC
解 析:A、两人分别将5块完全相同的砖从一楼运到三楼,砖的总重力相同,砖上升的高度相同,根据公式W=Gh可知,大人和小孩对砖所做的功相同,故A错误;B、运砖时上升的高度相同,小孩用的时间比大人多,根据公式v=W/t可知,小孩的平均速度小于大人的平均速度,故B正确;C、大人和小孩对砖所做的功相同,大人所用时间比小孩少,根据公式P=W/t可知,大人对砖做功的功率一定比小孩对砖做功的功率大,故C正确;D、大人在运砖过程中需要克服自身重力做功,即做了额外功,故D错误。故选BC。
填空题
1、自然界只存在两种电荷,电荷既不能被消灭,也不能创生,它们只能是(),或者是()。这个结论叫作电荷守恒定律。
答 案:从一个物体转移到另一个物体,或从物体的一个部分转移到另一部分。
解 析:电荷守恒定律
2、某液压机大活塞的横截面积是小活塞横截面积的10倍,则大活塞上得到的压力就是加在小活塞上压力的______倍。
答 案:10
简答题
1、如图所示,甲圆柱形容器中装有适量的水.将密度均匀的木块A放入水中静止时,有
的体积露出水面,如图乙所示,此时水对容器底部的压强比图甲水对容器底部的压强增加了P1.若在木块A上表面轻放一个质量为m1的物块,平衡时木块A仍有部分体积露出水面,如图丙所示,此时水对容器底部的压强比图甲水对容器底部的压强增加了P2.若将容器中的水换成另一种液体,在木块A上表面轻放一个质量为m2的物块,使平衡时木块露出液面的体积与丙图相同,如图丁所示,若m1:m2=5:1,
(1)在木块A上表面轻放一个质量为m1的物块平衡时,如图丙所示,木块A露出水面的部分占自身体积的多少?
(2)另一种液体的密度为多少?
答 案:(1)在木块A上表面轻放一个质量为m1的物块平衡时,如图丙所示,木块A露出水面的部分占自身体积的
: (2)另一种液体的密度为
。
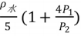
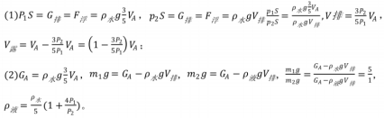
解:
解 析:本题意在考查对浮力等所学知识的识记能力和综合应用能力,及熟记和理解基础知识是解答此题的关键。 (1)根据P1S=G排=F浮=
,可解得;
(2)根据
,可解得。
2、简述质量和密度的区别。
答 案:质量是物体所含物质的多少,是物体的一种基本属性,不随形 状、状态、位置等改变;密度是物质的一种特性,等于质量与体积之 比,反映物质单位体积的质量。