2025-11-28 17:30:12 来源:勒克斯教育网
2025年高职单招《机械基础》每日一练试题11月28日,可以帮助我们积累知识点和做题经验,进而提升做题速度。通过高职单招每日一练的积累,助力我们更容易取得最后的成功。
判断题
1、等截面圆轴扭转时的危险截面是扭矩最大值所在截面。()
答 案:对
解 析:危险截面是指其应力最大的截面,等截面圆轴扭转时的危险截面发生在扭矩最大的横截面上。故正确。
2、混合摩擦的摩擦状况优于液体摩擦。()
答 案:错
解 析:混合摩擦中摩擦副的表面仍有少量直接接触,大部分处于液(气)体摩擦状态,故摩擦和磨损状况优于固体摩擦,但比液(气)体摩擦差。故错误。
单选题
1、某连接的一端旋入较厚被连接件的螺纹孔中并固定,另一端穿过较薄被连接件的通孔,与螺母组合使用,适用于连接一厚一薄零件,受力较大、经常拆卸的场合。则该连接是()
答 案:B
解 析:双头螺柱连接的一端旋入较厚被连接件的螺纹孔中并固定,另一端穿过较薄被连接件的通孔,与螺母组合使用,适用于被连接件之一较厚且需要经常拆卸的情况。故B正确。
2、机床受到化学原料的腐蚀而产生的磨损属于()
答 案:B
解 析:运动副受到空气中的酸、润滑油、燃油中残存的少量无机酸(如硫酸)及水分的化学作用或电化学作用,在相对运动中造成材料的损失称为腐蚀磨损。机床受到化学原料的腐蚀产生的磨损属于腐蚀磨损。故B正确。
主观题
1、在如图所示的轮系中,已知各齿轮的齿数分别为z1=20,z2=48,z2’=20,z3=48。试求传动比i1H。
答 案:由题意可得,n3=0,代入下式
化简整理得
2、带传动中主动轮的轮速n1=350r/min,直径d1=450mm,求带速v。(保留两位小数)
答 案:带速
填空题
1、蜗轮常用的制造材料是()。
答 案:青铜
解 析:蜗轮的材料主要采用青铜。
2、已知钢板厚δ=5mm,其极限切应力Tb=250MPa,若想用冲床在钢板上冲出一个周长为60mm的圆孔,需要的最小冲力为()kN。
答 案:75
解 析:要实现对钢板的冲切,必须使切应力r不小于材料的极限切应力,即
,可得F≥lδTb=60×5×250N=75kN。
简答题
1、简述滑动轴承的优点。
答 案:(1)滑动轴承使用寿命长,适用于高速旋转运动的场合。 (2)能承受冲击和振动载荷。 (3)运转精度高,工作平稳,无噪声。 (4)结构简单,装拆方便。 (5)承载能力大,可用于重载场合。 (6)可形成液体摩擦。
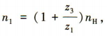
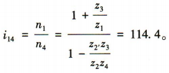
2、在如图所示的行星减速器中,已知各轮齿数z1=15,z2=33,z2’=30,z3=81,z4=78,求传动比i14。
答 案:
其中n3=0,有
化简整理得
