2025-09-22 17:40:12 来源:勒克斯教育网
2025年高职单招《机电类》每日一练试题09月22日,可以帮助我们积累知识点和做题经验,进而提升做题速度。通过高职单招每日一练的积累,助力我们更容易取得最后的成功。
判断题
1、感应加热表面淬火时,电流频率越高,淬硬层越深。()
答 案:错
2、退火与正火在工艺上的主要区别是正火的冷却速度大于退火。()
答 案:对
单选题
1、加工容易、装拆方便,应用最广泛的周向固定是()。
答 案:C
2、在键连接中,对中性好的是()
答 案:A
多选题
1、国家标准中规定绘图尽量采用原值比例,需要时也可采用()
答 案:AB
2、下列各轴中.属于心轴的有()
答 案:AD
主观题
1、已知半径R=10mm的圆弧,作下列图的圆弧连接。
(1)
(2)
答 案:(1)
(2)
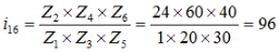
2、如图10所示定轴轮系,已知蜗杆1的头数为1,转速n1=960 r/min,蜗轮2的齿数Z2=24,其他齿轮的齿数分别为Z3=20,Z4=60,Z5=30,Z6=40。试求齿轮6的转速n6,并在图中标出其方向。
答 案:
齿轮6的方向如下图:
解 析:此题主要考察定轴轮系的计算。
填空题
1、常用的方向控制阀有()阀和()阀。
答 案:单向,换向
2、组合体相邻的表面可能形成()、()和()三种关系。
答 案:共面,相交,相切