2025-09-16 16:30:35 来源:勒克斯教育网
2025年高职单招《电工技术基础与技能》每日一练试题09月16日,可以帮助我们积累知识点和做题经验,进而提升做题速度。通过高职单招每日一练的积累,助力我们更容易取得最后的成功。
判断题
1、某电容器的容抗为10Ω,某一时刻其两端的电压为10V,则此时通过电容器的电流一定为1A。()
答 案:错
解 析:电容的电流超前电压90°,电流、电压的最大值与有效值满足欧姆定律,但瞬时值不满足,故无法确定此时通过 电容器的电流。故错误。
2、RLC串联电路中的总电流、总电压的有效值、最大值的关系也符合欧姆定律。
答 案:对
解 析:RLC串联电路中的总电压和总电流的有效值、最大值满足欧姆定律。故正确
单选题
1、示波器上显示的两个正弦信号的波形如图所示,已知时间因数“t/div”开关置于10ms/div挡,水平扩展倍率k=10,Y轴偏转因数“V/div”开关置于10mV/div挡,则信号周期及两者的相位差分别是()
答 案:B
解 析:由波形图可以看出两个正弦信号周期相同,均为9格,相位上相差1格,水平扩展倍率k=10,则周期
相位差为
故B正确。
2、用万用表测量交流电压与电流时,在不知被测值大小的情况下,其量程的选择应
答 案:A
解 析:用万用表测量交流电压或电流时,在不知被测值大小的情况下,其量程的选择应从大到小,直到合适为止。故A正确。
主观题
1、在如图所示的电路中,已知E=12V,R0=0.1Ω,R=11.9Ω。试求开关S在不同位置时电流表和电压表的读数。
答 案:将题图所示电路中R。看作电源内阻。根据闭合电路欧姆定律,开关S接1时,电流表读数
电压表读数U1=E-I1R0=12V-1×0.1V=11.9V。
开关S接2时,电阻R被短路,电压表读数U2=0,
2、如图所示电路,已知R1=R2=10,R3=R4=2Ω,US1=90V,US2=100V,US3=110V,IS=20A。试用节点电压法求IS两端的电压U和通过R1的电流I。

答 案:以题图所示电路中上方节点为参考点,设节点a、b、c的电位分别为Ua、Ub、Uc。则有Ua=US2+US3=210V,
填空题
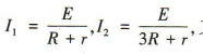
1、一个电源和一个负载电阻组成最简单的闭合电路,当负载电阻的阻值增加到原来的3倍时,电流变为原来的一半,则原来电源内阻和负载电阻的阻值之比为()
答 案:1:1
解 析:设电源电动势为E、内阻为r,最开始负载电阻的阻值为R,由闭合电路欧姆定律有,
联立解得r:R=1:1。
2、如图所示电路,在开关S断开时正处于谐振状态,谐振频率为f0。当开关S闭合后电路的谐振频率为(),此时电路呈()性。
答 案:
电感
解 析:当开关S断开时,RLC串联谐振电路的频率
当开关S闭合后,此时电路的谐振频率为
容抗XC减小,有XL>XC,电路呈电感性。
简答题
1、“由公式
可知,通过改变电容器的端电压,可实现对电容器电容的调节,获得可调电容器。”这种说法是否正确,为什么?
答 案:不正确。电容器的电容只与电容器本身的材料和性质有关,如绝缘介质的材料、极板正对面积、极板间的距离等,与 电容器的端电压和所带的电荷量无关。
2、额定电压为400V的电容器能否用在有效值为380V的交流电路中?为什么?
答 案:不能。电容器的额定工作电压是指电容器两端能加的最大电压,电容器用在交流电路中时,交流电压的最大值不能大于其额定电压。因为
故额定电压为400V的电容器不能用在有效值为380V的交流电路中。
2025年高职单招《电工技术基础与技能》每日一练试题04月16日 04-16 2025年高职单招《电工技术基础与技能》每日一练试题06月16日 06-16 2025年高职单招《电工技术基础与技能》每日一练试题05月16日 05-16 2025年高职单招《电工技术基础与技能》每日一练试题03月16日 03-16 2025年高职单招《电工技术基础与技能》每日一练试题01月16日 01-16 2025年高职单招《电工技术基础与技能》每日一练试题02月16日 02-16 2025年高职单招《电工技术基础与技能》每日一练试题07月16日 07-16 2025年高职单招《电工技术基础与技能》每日一练试题08月16日 08-16