2025年高职单招《土木水利类》每日一练试题07月29日

2025-07-29 17:43:46 来源:勒克斯教育网

课程 题库
分享到空间 分享到新浪微博 分享到QQ 分享到微信

2025年高职单招《土木水利类》每日一练试题07月29日,可以帮助我们积累知识点和做题经验,进而提升做题速度。通过高职单招每日一练的积累,助力我们更容易取得最后的成功。

判断题

1、象限角是指从坐标纵轴至直线的锐角。()

答 案:对

2、工程中的矩形截面梁,通常采用平放,以提高梁的承载能力。()

答 案:错

单选题

1、图线与文字、数字或符号重叠、混淆不可避免时,应首先保证()的清晰。  

  • A:文字及数字
  • B:图线
  • C:符号
  • D:视情况而定

答 案:A

2、随着钢材含碳量的提高()。  

  • A:强度、硬度、塑性都将提高
  • B:强度、硬度提高,塑性降低
  • C:强度降低,塑性提高
  • D:强度、塑性都降低

答 案:B

多选题

1、路线水准测量的路线形式有()。  

  • A:附合水准路线
  • B:闭合水准路线
  • C:支线水准路线
  • D:任意路线

答 案:ABC

2、测量上的平面直角坐标系有()。  

  • A:地理坐标
  • B:独立平面直角坐标
  • C:高斯平面直角坐标
  • D:数学坐标

答 案:BC

主观题

1、在A、B、C处均为光滑铰链,已知F=400N,杆重不计,尺寸如下图所示。求C点处的约束反力。  

答 案:FCx=880N(→)FCy=480NC↓)

2、已知杆件AB段的横截面面积AAB=150mm2,BC段的横截面面积ABC=200mm2,材料的许用压应力[σ-]=200MPa,许用拉应力[σ+]=150MPa,E=2.0×105MPa,杆件受力如下图所示,自重忽略不计,求:①作杆件的轴力图;②求AB、BC杆段的横截面正应力σAB、σBC,并校核强度;③求AB、BC杆段的纵向变形和杆件总变形△LAC  

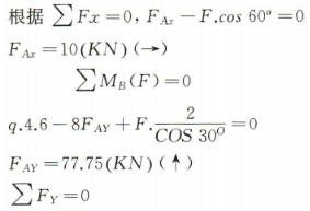
答 案:解:取三脚架为研究对象。 FAY-q.4-F.sin60°+FNB=0 FNB=35.57(KN)(↑) 校核:4FNB 解:(1)做出杆件的轴力图 (2)求σAB、σBC,并校核强度。 σAB=133.3MPa(拉)σBC=-150MPa(压) σmax,拉AB=133.3MPa<[σ+]=150MPa,安全 σmax,BC=150MPa<[σ-]=200MPa,安全 (3)△LAB=1.334mm(拉),△LBC=-2.25mm(压) △LAC=△LAB+△LBC=-0.916mm(压)  

填空题

1、水玻璃又称“()”,是一种碱金属()性胶凝材料。  

答 案:泡花碱;气硬

2、施工测量的任务是把图纸上设计的建(构)筑物的()和(),按设计和施工的要求测设到相应的地点,作为施工的()。  

答 案:平面位置;高程;依据

温馨提示:因考试政策、内容不断变化与调整,本站提供的以上信息仅供参考,如有异议,请考生以权威部门公布的内容为准!
备考交流
单招真题交流3群
扫一扫或点击二维码入群
猜你喜欢
换一换
阅读更多内容,狠戳这里