2025-06-27 17:38:20 来源:勒克斯教育网
2025年高职单招《机械专业》每日一练试题06月27日,可以帮助我们积累知识点和做题经验,进而提升做题速度。通过高职单招每日一练的积累,助力我们更容易取得最后的成功。
判断题
1、日常用的220V和380V交流电压是指最大值。()
答 案:错
2、由公式R2=R1[1+α(t2-t1)]可知,温度升高会使电阻增大。()
答 案:错
3、磁场强度与媒介质的磁导率无关,而磁感应强度与媒介质的磁导率有关。()
答 案:对
单选题
1、如图所示,已知C1=2C2,C1充电后电压为U,C2未充电。如果将开关S合上,那么电容器C1两端的电压为()



答 案:C
2、某铜质零件的视图中,某部分的主要轮廓线与水平成45°,则该处剖切后的剖面线最好应画成()
答 案:D
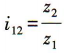
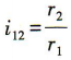
3、能证明传动比恒定不变的公式是()




答 案:D
填空题
1、主切削刃与副切削刃的交点称为()。为了提高刀尖的强度和耐磨性,往往把刀尖磨成()形或()形的过渡刀刃。
答 案:刀尖、修圆、倒角
2、自控离合器是指在主动部分或从动部分某些性能参数()时,接合元件具有自行()或()功能的离合器。
答 案:变化,接合,分离
3、(2020年高考题)已知端铣刀的直径为φ80,刀齿为6个,在铣削平面时,铣刀的转速为300r/min,进给速度为18mm/min,则每齿进给量为()mm/z。
答 案:3
简答题
1、如图所示液压系统,液压泵的额定压力为2.5MPa,额定流量为40L/min,溢流阀的调定压力为1.6MPa;液压缸的活塞面积均为0.01m²,液压缸的上升速度等于下降速度,液压缸运动的速度为6m/min,各种损失不计。
(1)系统中液压缸的往复运动范围约为有效行程的多少倍?
(2)液压缸上升时流过调速阀的流量qvT为多少(L/min)?
(3)液压缸下降时流过溢流阀的流量△qv,为多少(L/min)?
(4)若液压缸中的活塞自重为5kN,为防止活塞自行下滑,顺序阀的最小调定压力为多少(MPa)?
答 案:(1)2倍 (2)30L/min (3)10L/min (4)0.5MPa