2025-01-29 16:44:59 来源:勒克斯教育网
2025年高职单招《电工技术基础与技能》每日一练试题01月29日,可以帮助我们积累知识点和做题经验,进而提升做题速度。通过高职单招每日一练的积累,助力我们更容易取得最后的成功。
判断题
1、把应作三角形联结的电动机误接成星形联结,电动机不会被烧坏。
答 案:对
解 析:假如电动机应按三角形联结时,被误接成星形联结,电压降低为原来的
,启动困难,工作无力、空载转速低,但不会被烧坏。故正确。
2、磁场中某点磁感应强度的大小,跟放在该点的试探电流元的情况有关。
答 案:错
解 析:磁感应强度由磁场本身决定,磁场中某点磁感应强度的大小,跟放在该点的试探电流元的情况无关。故 错误。
单选题
1、如图所示的自耦变压器为理想变压器,R为定值电阻,在ab两端输入正弦交流电,将滑片P向下移动,使原绕组的匝数减少为原来的80%,则变压器副绕组输出电压将()
答 案:B
解 析:
变压器副绕组输出电压
即变压器副绕组输出电压将会是原来的1.25倍。故B正确。
2、在某RL串联的正弦交流电路中,总电压U=30V,电感上的电压UL=18V,则R的电压UR=()

答 案:B
解 析:根据RL串联的正弦交流电路的总电压与分电压的关系可知,R的电压
主观题
1、如图所示电路,理想变压器的初级线圈N1=100匝,次级线圈N2=200匝,N3=20匝,在次级线圈N2上接一个R=48.4Ω的负载,在次级线圈N3上接一个铭牌为“220V,100W”的灯泡。当初级线圈与e=
的交流电源连接后,求变压器的各绕组的电流和输入功率。

答 案:初级线圈电压U1=220V,

2、如图所示电路,换路前电路已处于稳态。t=0时开关S断开,求uC(0+)、iC(0+)、i1(0+)和i2(0+)。
答 案:(1)画出t=0_时的等效电路,电路在t=0-时处于稳态,电容视为开路,其等效电路如图甲所示。根据电阻分压公式可得
由换路定律求独立初始值uC(0+)=uC(0-)=8V。
画出t=0+时的等效电路,此时电容用一个电压为8V的理想电压源代替,如图乙所示。

填空题
1、在正弦交流电路中,以电压方向为参考方向,纯电容电路的瞬时功率p=()
答 案:
解 析:以电压方向为参考方向,纯电容电路的瞬时功率
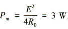
2、实验测得某线性二端网络的开路电压为6V,短路电流为2A,当外接负载电阻为()时,负载获得最大功率Pm=()
答 案:3Ω 3W
解 析:根据题意,该二端网络可等效为一电压源,其电动势E=UOC=6V,内阻
根据电源最大功率输出定理,当外接负载电阻为3Ω时,负载获得最大功率
简答题
1、简述三相正弦对称电源采用星形联结时,线电压的特点以及线电压与相电压的关系。
答 案:线电压的特点:三相正弦对称电源采用星形联结时,三个线电压有效值相等、频率相同,相位互差120°。 线电压与相电压的关系: (1)线电压的大小是相电压的
倍。(2)线电压的相位超前相应的相电压30°。
2、如图甲、乙所示两个照明电路,它们的变压器二次绕组的额定电压、额定电流均为“3V,1mA”,而负载分别为白炽灯泡H1和H2,且H1、H2的额定电压和额定电流分别为“6V,1mA”“3V,2mA”,则欲使负载在额定状态下工作,二次回路应如何连接?使作图说明。(变压器的1、3、5端子为同名端)
答 案:图甲中,变压器的二次绕组N2、N3的额定电压、额定电流均为“3V,1mA”,而负载为“6V,1mA”的白炽灯泡,为使负载额定工作,可将二次绕组N2、N3串联在一起使用,故二次回路的连接方法是变压器二次绕组的异名端相接,然后接H1。 图乙中,变压器的二次绕组N2、N3的额定电压、额定电流均为“3V,1mA”,而负载为“3V,2mA”的白炽灯泡,为使负载额定工作,可将二次绕组N2、N3并联在一起使用,故二次回路的连接方法是变压器二次绕组的同名端相接,然后接H2。连接电路图如图所示。
2025年高职单招《电工技术基础与技能》每日一练试题04月29日 04-29 2025年高职单招《电工技术基础与技能》每日一练试题06月29日 06-29 2025年高职单招《电工技术基础与技能》每日一练试题05月29日 05-29 2025年高职单招《电工技术基础与技能》每日一练试题07月29日 07-29 2025年高职单招《电工技术基础与技能》每日一练试题03月29日 03-29 2025年高职单招《电工技术基础与技能》每日一练试题10月29日 10-29 2025年高职单招《电工技术基础与技能》每日一练试题11月29日 11-29 2025年高职单招《电工技术基础与技能》每日一练试题09月29日 09-29