2025年成考专升本《计算机基础》每日一练试题12月02日

2025-12-02 12:04:48 来源:勒克斯教育网

课程 题库
分享到空间 分享到新浪微博 分享到QQ 分享到微信

2025年成考专升本《计算机基础》每日一练试题12月02日,可以帮助我们积累知识点和做题经验,进而提升做题速度。通过成考专升本每日一练的积累,助力我们更容易取得最后的成功。

单选题

1、外设是指通过机箱后面的()与主机相连的。  

  • A:接口
  • B:螺丝
  • C:开关
  • D:指示灯

答 案:A

2、C语言中运算对象必须是整型的运算符是()  

  • A:%=
  • B:/
  • C:=
  • D:<=

答 案:A

多选题

1、微机内部电源向外提供的直流电输出有()。  

  • A:+5V
  • B:-5V
  • C:+12V
  • D:-12V

答 案:ABCD

2、如图所示,IE浏览器中“Internet属性”可以完成许多设置,其中选项卡可以设置网站的信任度;()选项卡可以设置分级审查功能。  

  • A:常规
  • B:安全
  • C:内容
  • D:连接

答 案:BC

主观题

1、在下列网络服务中,()是远程登录服务,默认端口号为() (1)A、WWW B、FTP C、BBS D、Telnet (2)A、21 B、23 C、25 D、80  

答 案:(1)D (2)B

2、在下列应用层协议中,利用UDP实现无连接传输的是(),利用TCP实现面向连接传输的是() (1)A、SMTP B、FTP C、TELNET D、SNMP (2)A、TFTP B、FTP C、RPC D、SNMP  

答 案:(1)D (2)B

填空题

1、网络中真正实现数据传输任务的是()链路,物理链路只提供传输过程中的基本线路。  

答 案:逻辑

2、条件"2          。  

答 案:x>2&&x<3||x<-10

简答题

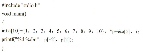
1、分析程序的结果  

答 案:4 8

2、下面程序中fun函数功能是,统计一个字符串中字母、数字及其它字符的个数。在主函数中输入字符串,打印结果。  

答 案:(1)s,&n1,&n2   (2)(*n2)++

温馨提示:因考试政策、内容不断变化与调整,本站提供的以上信息仅供参考,如有异议,请考生以权威部门公布的内容为准!
备考交流
2025成考内部交流群
群号:665429327
扫一扫或点击二维码入群
猜你喜欢
换一换
阅读更多内容,狠戳这里